Loading provider exams...
Sign Up & unlock 100% of Exam Questions
No Strings Attached!
Updated
Once the project's WBS has been created what process may happen next?
Which of the following scheduling techniques identifies the successor activities and the predecessor activities to assist the project manager in sequencing the project work?
You are the project manager of the NHGQ project for your company. You must create and distribute performance reports every week to your key project stakeholders. What communication technique do you normally use to distribute reports?
Your project team is executing the project plan and things are going well. Your team has reached its first milestone and is now in the second phase of the project.
The project stakeholders have requested that you find a method to reduce the duration of the project. They will reward you and your project team with a 25 percent bonus of the project costs if you can finish the project thirty days earlier than what was already planned. The stakeholders, however, will not approve any additional labor costs as part of the agreement. Which approach could you use to shorten the duration of the project?
You are the project manager of the GHT Project. Ben, one of your project team members, does not understand the idea of a milestone. Which of the following best describes what a milestone is?
Want a break from the ads?
Become a Supporter and enjoy a completely ad-free experience, plus unlock Learn Mode, Exam Mode, AstroTutor AI, and more.
Examine the figure given below:

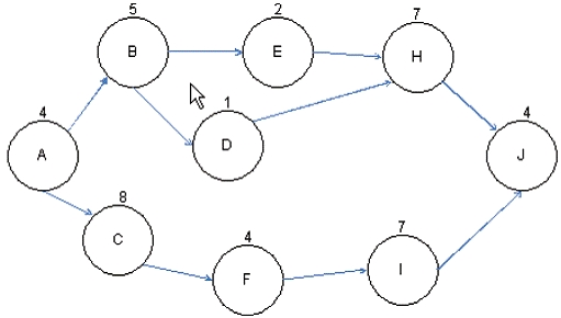
If Activity B takes eight days to complete instead of five days as schedule, how long can you now delay Activity H?
You are the project manager of the GHY Project. Management wants you to create a process improvement plan for your project. Your project will be studied by management and will become a standard for all future organizational projects based on your project's performance, approach, and implementation of project processes. All of the following should be included in your project's process improvement plan except for which one?
You are the project manager of the NHQ Project. Management has set a conformance to the project schedule for your project at 0.95. What does this term mean?
You are the project manager of the NHT Project. This project has 12,345 office doors to install throughout a campus. Each of the doors costs the project $456 and requires special hardware to electronically lock and open the doors. You've gathered the project team before they begin the installation for a hands-on training. As a group you and the project team install 50 doors following a checklist of instructions so that every door will be installed exactly the same throughout the campus and with minimal waste. This is an example of what project execution technique?
John works as the project manager for Honeywell Inc. He is involved in the periodic collection and analysis of baseline versus actual data to understand and communicate the project progress. Which of the following techniques is used in generating performance reports?
Beth is the project manager for the NHQ project. This project deals with fiber optic cabling in her organizational campus. Tim is the electrical engineer for her company and is the only internal resource that can complete several of the project activities that deal with the fiber optic cables. Because Tim is a highly-skilled resource, he is already scheduled on several projects within the organization and is not available when Beth needs him to complete some of the project activities.
This is an example of which term?
Which of the following individuals has a management role in a core business area, such as research and development, design, manufacturing, provisioning, testing, or maintenance?
Ned is the project manager for his organization. Ned is using a standard tool to capture, store, and distribute information to the stakeholders about the project costs, schedule, and performance. What term is assigned to this communication tool?
Which one of the following estimate types is a form of expert judgment?
SIMULATION -
Fill in the blank with an appropriate phrase.
The __________ includes a description of any collateral services required, such as performance reporting or post-project operational support for the procured item.
Mark is the project manager of the GHQ Project. He is happily reporting that his project has a schedule performance index of 2.12. Management, however, does not think this is good news. What is the most likely reason why management does not like an SPI of 2.12?
You are the project manager of the BHG Project. You are creating a network diagram as shown in the figure:

Mary, a project team member, reports that an identified risk is likely to happen in the project that will affect the completion date of Activity D . She reports that the risk event will likely cause the duration of the activity to increase by six days. If this happens what is the earliest the project can complete?
Sam is the project manager of the NQQ project. He and the project team have completed the stakeholder identification process for his project. What is the main output of the identify stakeholders process?
You work as a project manager for BlueWell Inc. Management has asked you not to communicate performance unless the CPI is less than 0.96 or the SPI dips below 0.98. What type of report would you create for management, if these instances develop in your project?
You are the project manager of the HQQ Project. Your project is running late by ten percent of where you should be at this time. Management is concerned.
Considering that the project has a BAC of $567,899, you are thirty percent complete, and you have spent $179,450. What is this project's to-complete performance index based on the current BAC?
Andy works as the project manager for Bluewell Inc. He is developing the schedule for the project. There are eight tools and techniques that a project manager can use to develop the project schedule. Which of the following is a tool and technique for the Schedule Development process?
You are the project manager for your organization. You have recorded the following duration estimates for an activity in your project: optimistic 20, most likely 45, pessimistic 90. What time will you record for this activity?
You are the project manager of the NHQ Project. You have created the project network diagram as shown in the figure:

You are concerned about a risk on Activity G that if it happens will delay the project by four days. You would like to utilize float for Activity G. How much float is available for Activity G to help offset the risk event?
Beth is the project manager for her organization. Her current project has many deliverables that have been defined at a high level, but the details of the deliverables are still unknown. In her project, Beth is planning in detail only the activities that are most imminent in the project work. This approach to project management planning is known as what?
John works as a project manager of the NHQ Project. He has created the project network diagram as shown in the figure:

Based on the project network diagram, how much float is available for Activity H if Activity B is delayed by four days and Activity E is delayed by two days?